[Tạp chí Chăn nuôi Việt Nam] – Khoáng vi lượng dạng Hydroxy có thể được cung cấp với mức chi phí cho phép thay thế hoàn toàn các nguồn khoáng vô cơ có tính phản ứng cao trong khẩu phần. So với nhiều nguồn khoáng hữu cơ đã được chứng minh, khoáng hydroxy giúp tiết kiệm 50-60% chi phí, đồng thời vẫn đảm bảo hiệu quả sinh học tương đương hoặc cao hơn.


Hình 1. Khả dụng sinh học tương đối của các khoáng chất vi lượng Hydroxy (IntelliBond) so với các nguồn hữu cơ và vô cơ **. Thí nghiệm kiểm tra hàm lượng Zn (ppm) bổ sung và hàm lượng Zn (µg) đo được tại xương chày
KHOÁNG VI LƯỢNG – NÂNG CAO HIỆU SUẤT, GIẢM
hiều tài liệu đã khẳng định việc bổ sung khoáng vi lượng trong khẩu phần là bắt buộc, do các nguyên tố như kẽm (Zn), mangan (Mn), đồng (Cu) và selen (Se) đóng vai trò thiết yếu trong duy trì năng suất và sức khỏe vật nuôi. Điều này đòi hỏi các chuyên gia dinh dưỡng phải lựa chọn nguồn khoáng phù hợp để đạt mục tiêu sản xuất. Tuy nhiên, trên thực tế, nhiều người vẫn sử dụng các nguồn vô cơ truyền thống (oxit, sunfat) mà chưa đánh giá đầy đủ hiệu quả sinh học và chi phí tổng thể.
Trong bối cảnh yêu cầu về môi trường và phát triển bền vững ngày càng cao, chiến lược sử dụng khoáng vi lượng đang được xem xét lại.
4 CÂU HỎI CẦN ĐẶT RA KHI ĐÁNH GIÁ NGUỒN KHOÁNG VI LƯỢNG
Sinh khả dụng thực tế?
Khoáng chỉ có giá trị khi được hấp thu hiệu quả qua thành ruột vào máu, từ đó hỗ trợ các chức năng như tăng trưởng, sinh sản, miễn dịch, sức khỏe chân móng và năng suất.
2. Giá trị có tương xứng chi phí?
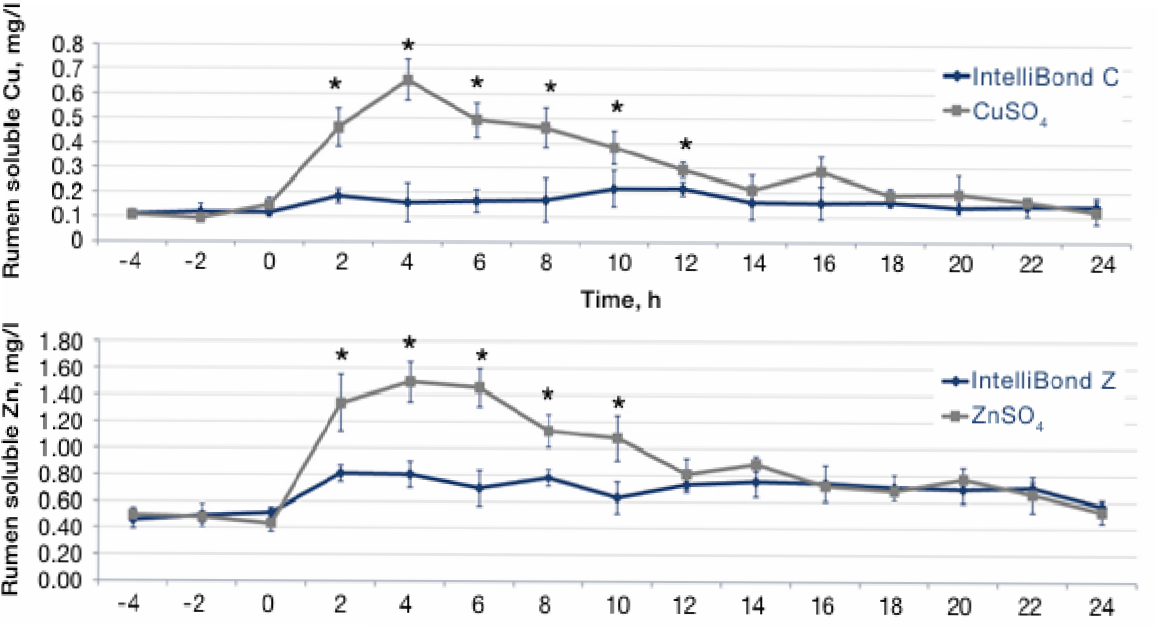
Một số khoáng vô cơ (như sunfat) có độ hòa tan cao, dễ phản ứng ở phần trên của đường tiêu hóa (Hình 1), gây ảnh hưởng tiêu cực đến tính toàn vẹn của đường ruột cũng như độ ổn định của vitamin, axit amin, chất béo và probiotic. Điều này tạo “khoảng trống dinh dưỡng” và ảnh hưởng trực tiếp đến hiệu quả kinh tế.

-4h đến 0h = chế độ ăn cơ bản
Trt (P<0,04); Thời gian (P<0,01); Trt x thời gian (P<0,05)
*Giá trị trung bình trong cùng một thời điểm khác nhau (P<0,05)
Hình 2: Ảnh hưởng của nguồn kim loại (Hydroxyl và SO4) đến độ hòa tan trong đường tiêu hóa trên*- thí nghiệm tại dạ cỏ
3. Nguồn khoáng vi lượng ảnh hưởng như thế nào đến môi trường?
Khoáng vi lượng không được hấp thu sẽ bị bài thải, gây tác động tiêu cực đến việc tuân thủ các quy định về môi trường. Vấn đề này càng nghiêm trọng khi khoáng vô cơ được bổ sung vượt nhu cầu để bù đắp khả năng hấp thu thấp. Ngoài ra, do tính kém ổn định, một số nguồn khoáng phản ứng với các dưỡng chất thiết yếu trong khẩu phần.
4. Giá trị thực sự của nguồn khoáng vi lượng là gì?
Nhiều nghiên cứu cho thấy, khoáng vô cơ giá rẻ (sunfat, oxit) tiềm ẩn nhiều chi phí “ẩn”. Dù chi phí ban đầu thấp, nhưng các tác động bất lợi có thể khiến tổng chi phí sử dụng cao hơn dự kiến.
HAI NHÓM KHOÁNG VI LƯỢNG CẢI TIẾN
Những hạn chế của khoáng truyền thống đã thúc đẩy phát triển các nguồn khoáng cải tiến, gồm:
- Khoáng hữu cơ: Đã được sử dụng rộng rãi.
- Khoáng vi lượng Hydroxy: Như IntelliBond®, đại diện công nghệ bổ sung khoáng thế hệ mới.
Khoáng vi lượng hữu cơ
Khoáng vi lượng hữu cơ là dạng nguyên tố kim loại được liên kết bằng liên kết cộng hóa trị với các phân tử chứa carbon (axit amin, polypeptid, polysaccharid, axit hữu cơ…). Sự kết hợp giữa kim loại với các phối tử này giúp khoáng có độ ổn định cao hơn, ít phản ứng hơn và cải thiện khả năng sinh học so với khoáng vô cơ truyền thống.
Theo các tiêu chí đánh giá, phần lớn khoáng hữu cơ giúp vật nuôi hấp thu khoáng vi lượng hiệu quả hơn. Tuy nhiên, hạn chế chính là chi phí cao, thường gấp 6-10 lần so với khoáng vô cơ. Dù vậy, lợi ích về sức khỏe và năng suất có thể mang lại hiệu quả kinh tế tích cực trong thực tế.
Khoáng vi lượng Hydroxy
Khoáng vi lượng Hydroxy, được phát triển và đưa ra thị trường vào cuối những năm 1990, có cấu trúc tinh thể ổn định ở pH >4, giúp duy trì độ ổn định trong thức ăn và phần trên của đường tiêu hóa, hạn chế các phản ứng đối kháng dinh dưỡng.
Chỉ khi vào môi trường pH thấp (<4) của dạ dày, mề hoặc dạ múi khế, khoáng mới bắt đầu phân ly từ từ giải phóng ion kim loại và được hấp thu hiệu quả qua thành ruột non (Hình 2).
PHÁT THẢI
Một nghiên cứu của Đại học KwaZulu-Natal (Nam Phi) cho thấy, việc sử dụng các nguồn khoáng vi lượng khác nhau, đặc biệt Zn, Mn và Cu, ảnh hưởng rõ rệt đến tăng trưởng và lượng kim loại thải ra môi trường trong chăn nuôi gà thịt.
RBV so với SO₄ IBZ = 167,4%
ORG = 176,5%
Bao nhiêu đồng sunfat được thải ra môi trường?
Sự liên kết yếu của đồng sunfat làm tăng lượng đồng bị thải ra môi trường, do sinh khả dụng thấp.
RBV so với SO₄ IBZ = 143,5%
ORG = 141,9%
Bao nhiêu phốt pho được thải ra môi trường? Việc bổ sung đồng sunfat làm tăng lượng phốt pho bị thải ra môi trường.
Ở mức 125 ppm Cu từ CuSO₄, hơn 42% phốt pho từ phytate không được thủy phân.

Hình 3. Mối quan hệ giữa sinh khả dụng, phát triển bền vững và hiệu quả kinh tế trong chăn nuôi
Thí nghiệm thực hiện tháng 4/2018 trong 35 ngày trên 2.880 gà Cobb trống nuôi chuồng hở. Gà được chia thành 4 nghiệm thức, mỗi nghiệm thức 12 lần lặp, mật độ 60 con/ô. Khẩu phần gồm 3 giai đoạn, sử dụng nền ngô – đậu tương, dạng viên và mảnh.
Bảng 1. Ảnh hưởng của các nguồn Zn, Mn và Cu khác nhau đến hiệu suất chăn nuôi gà thịt

Mục tiêu nghiên cứu nhằm đánh giá tác động của các nguồn khoáng vi lượng khác nhau đến tốc độ tăng trưởng của gà thịt từ 0-35 ngày tuổi, đồng thời theo dõi lượng khoáng thải ra qua phân.

BW: khối lượng cơ thể; ADG: tăng trọng trung bình ngày; FI: lượng thức ăn tiêu thụ tích lũy; FCR: hệ số chuyển đổi thức ăn (thức ăn/tăng trọng); PC: đối chứng dương; ITM: khoáng vi lượng vô cơ; OTM: khoáng vi lượng hữu cơ; HTM: khoáng vi lượng hydroxy; LSD: sai khác nhỏ nhất có ý nghĩa; các giá trị trung bình có ký tự mũ khác nhau trong cùng một cột là khác biệt có ý nghĩa thống kê tại p < 0,05.
Kẽm, mangan và đồng trong gà thịt lúc 35 ngày tuổi với các mức bổ sung khác nhau trong khẩu phần. PC: đối chứng dương; ITM: khoáng vi lượng vô cơ; OTM: khoáng vi lượng hữu cơ; HTM: khoáng vi lượng hydroxy; các giá trị có ký tự mũ khác nhau giữa các nghiệm thức là khác biệt có ý nghĩa thống kê tại p < 0,05. n = 24.
Hình 4. Ảnh hưởng của các nguồn khoáng chất vi lượng khác nhau đến hiệu suất sinh trưởng của gà thịt từ 0-35 ngày tuổi và lượng phân thải ra
Kết quả cho thấy, việc sử dụng nguồn khoáng vi lượng có sinh khả dụng cao không chỉ cải thiện hiệu quả chăn nuôi mà còn giảm đáng kể lượng kim loại thải ra môi trường. Điều này khẳng định vai trò của dinh dưỡng chính xác trong phát triển chăn nuôi bền vững, hài hòa giữa hiệu quả kinh tế và trách nhiệm môi trường.
CẢI THIỆN NĂNG SUẤT VÀ SỨC KHỎE VẬT NUÔI
Hơn 200 thử nghiệm đã chứng minh khoáng vi lượng Hydroxy giúp cải thiện rõ rệt năng suất và sức khỏe vật nuôi, đồng thời loại bỏ các tác dụng phụ. Ở động vật nhai lại, Zn và Cu dạng sunfat có thể ức chế vi sinh vật dạ cỏ.
Nhiều nghiên cứu cho thấy, bổ sung Zn và Cu sunfat có thể làm giảm tiêu hóa xơ khoảng 2 điểm phần trăm, gây thiệt hại đến 0,5 kg sữa hiệu chỉnh chất béo/con/ngày giai đoạn đầu. Thay thế bằng khoáng vi lượng Hydroxy giúp loại bỏ rủi ro này, tối ưu chức năng dạ cỏ và tăng lợi nhuận.
LỢI ÍCH ĐẦU TƯ
Khoáng vi lượng dạng hydroxy có thể thay thế hoàn toàn khoáng vô cơ kém ổn định. So với khoáng hữu cơ cao cấp, giải pháp này giúp tiết kiệm 50-60% chi phí nhưng vẫn đảm bảo hiệu quả sinh học tương đương hoặc cao hơn.
Trước khi đưa ra quyết định về việc lựa chọn nguồn bổ sung khoáng vi lượng thiết yếu, cần đánh giá kỹ các tiêu chí đã nêu trên nhằm tối ưu hóa hiệu quả kinh tế đầu tư, lợi ích của vật nuôi và hướng tới một nề

- khoáng vi lượng li> ul>
- Việt Nam đã có bột cá biển đạt MarinTrust V 3.0 “nhãn xanh”
- Việt Nam và Hàn Quốc mở cửa thị trường thịt gà chế biến
- Quy Mông: Mô hình gà đệm lót sinh học thu nhập hàng trăm triệu đồng
- Khai mạc Triển lãm quốc tế Analytica Hanoi 2026: Thúc đẩy ứng dụng công nghệ sinh học và phân tích trong nông nghiệp hiện đại
- Sẵn sàng cho sự kiện Ngày hội Thú cưng Cần Thơ 2026 trọng điểm của ngành thú cảnh miền Tây
- Antivir thảo dược kháng virus, bảo vệ tế bào, tăng cường miễn dịch
- MASAN MeatLife: Nắm giữ hơn 50% thị phần thịt chế biến tại Việt Nam
- Tân Long Group hợp tác phát triển mô hình nuôi cá thu Nhật trên đất liền cùng đối tác Nhật Bản và Hàn Quốc
- Nghiên cứu RFSI: Việt Nam có hệ thống lương thực dễ tiếp cận và nguồn cung ứng dồi dào
- Nhu cầu năng lượng của gia cầm đẻ và nguồn cung
Tin mới nhất
T5,23/04/2026
- Việt Nam đã có bột cá biển đạt MarinTrust V 3.0 “nhãn xanh”
- Việt Nam và Hàn Quốc mở cửa thị trường thịt gà chế biến
- Tái định hình chiến lược sử dụng khoáng vi lượng để đáp ứng mục tiêu chăn nuôi bền vững
- Quy Mông: Mô hình gà đệm lót sinh học thu nhập hàng trăm triệu đồng
- Thức ăn chăn nuối sấy khô từ châu Âu: Giải pháp dinh dưỡng bền vững cho ngành chăn nuôi Việt Nam
- Khai mạc Triển lãm quốc tế Analytica Hanoi 2026: Thúc đẩy ứng dụng công nghệ sinh học và phân tích trong nông nghiệp hiện đại
- Sẵn sàng cho sự kiện Ngày hội Thú cưng Cần Thơ 2026 trọng điểm của ngành thú cảnh miền Tây
- Antivir thảo dược kháng virus, bảo vệ tế bào, tăng cường miễn dịch
- MASAN MeatLife: Nắm giữ hơn 50% thị phần thịt chế biến tại Việt Nam
- Tân Long Group hợp tác phát triển mô hình nuôi cá thu Nhật trên đất liền cùng đối tác Nhật Bản và Hàn Quốc
- AChaupharm: Nấm phổi gia cầm, hiểm họa thầm lặng khi giao mùa
- Chuyên gia bàn giải pháp sử dụng kháng sinh có kiểm soát trong chăn nuôi
- Ngành sữa Việt Nam: Cơ hội “bứt phá” từ nội lực
- Dịch tả heo châu Phi: Hiện trạng và giải pháp kiểm soát hiệu quả (Phần 1)
- Bộ NN&MT mở đợt ‘truy quét’ việc lạm dụng chất kích tăng trưởng, tăng trọng
- Cargill rút khỏi ngành thức ăn thủy sản tại Việt Nam, đóng cửa nhà máy tại Đồng Tháp và Long An
- Chăn nuôi dê bền vững theo chuỗi giá trị: Chủ nhà hàng là mắt xích quan trọng
- Da khỏe, lông đẹp: Chiến lược dinh dưỡng hiệu quả cho heo con sau cai sữa
- Lo ngại bệnh than, Campuchia ngừng nhập một số sản phẩm từ Thái Lan
- Cạn tiền, một công ty tại Nam Phi phải tiêu hủy hơn 350.000 con gà
























Bình luận mới nhất